引言:在规模最大的美国心脏病学会(AHA)于2003年召开年会时,美国Cleveland CF & CWR大学Young J教授提到:美国每年有3千万病人作非心脏手术,其中约300万人有冠心病或心血管危险因素,如高血压、糖尿病。手术后1~4天内发生心梗达3%~17%,其中40%~70%死亡。近年来一系列临床试验显示,应用β受体阻滞剂可明显减少非心脏手术心血管事件的发生,这已得到国内外专家学者的认可。
兰地洛尔是一个新型的超短效肾上腺素 β 受体阻滞药,具有选择性高、起效快、 停药后失效快、对心脏血流动力学影响小等优点。主要用于治疗手术时心动过速性心律失常、心房纤维性颤动、心房扑动及窦性和室上性心动过速。

*盐酸兰地洛尔化学结构式
盐酸兰地洛相对以前的产品来讲是新一代的化合物。无论是从疗效还是安全性来说,兰地洛尔在未来的市场中将是有优势的产品。
盐酸兰地洛尔的开发背景
小野药品工业株式会社自1987 年以开发短效 、β1选择性强的药物为目标 进行合成方法、理化性质研究安全性评定及筛选,开发了盐酸兰地洛尔。兰地洛尔是在艾司洛尔的化学结构基础上进行改造而获得的新化合物,其特点是血液半减期短(约为4分钟)、调节性好的超短作用时间型β1阻滞剂 。对β1受体有高度选择性。对术中心动过速心律不齐 心房纤颤 、心房扑动 、窦性心动过速 有快速治疗效果。不良反应发生率15.6%。因此兰地洛尔较艾司洛尔具有更强的β1受体阻断作用和更好的可控性。
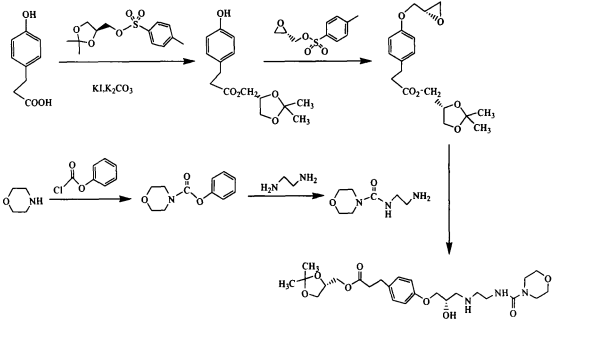
合成方法
01
盐酸兰地洛尔合成路线图

02
欧洲专利EP397031公布的合成兰地洛尔方法

03
日本专利JP05306281公布的合成兰地洛尔的方法
